Tweets
- Tweets
- Tweets & replies
- Media
@tbiz is blocked
Are you sure you want to view these Tweets? Viewing Tweets won't unblock @tbiz.
-
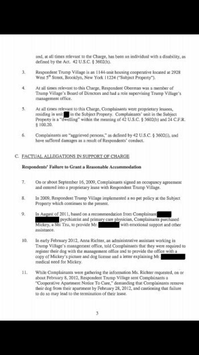
Pinned Tweet
new IFTTT recipe: send an email to anyone posting “Inbox Zero"
-
7. There is basically one line of defense left: The people. People have to care or no one will.
-
Perfect example of how ugly the GOP has become. Spot on quote from
@NancyPelosi https://www.washingtonpost.com/news/powerpost/wp/2017/01/02/house-republicans-vote-to-rein-in-independent-ethics-office/ …pic.twitter.com/MhJCTFff3F
-
Trump tries to obliterate any possibility of shared agreement or even reality itself. Yes, Trump 'lies.' A lot.http://wpo.st/kdSP2
-
Team Trump attempts to obscure the issue, but this is the unanimous intel assessment that Moscow directed the hacks. https://www.dni.gov/index.php/newsroom/press-releases/215-press-releases-2016/1423-joint-dhs-odni-election-security-statement …
-
The question that needs to be answered is this: why is
@realDonaldTrump working so hard to protect Russia's open attack on our democracy? -
.
@RepEliotEngel: I strongly support helping our NATO allies in Estonia, Latvia, and Lithuaniahttp://mobile.nytimes.com/2017/01/01/us/politics/us-baltic-russia.html?partner=rss&emc=rss&smid=tw-nytimes&smtyp=cur&_r=0&referer= … -
And
@CNN has a typo in its title too!https://twitter.com/realDonaldTrump/status/815989154555297792 … -
Trump evicted a disabled US Vet cuz he had a therapy dog-helped treat his PTSD-US Govt agreed so they sued
#Trump#TrumpLeaks#TheResistancepic.twitter.com/WLpDTeOV73
-
This explains why Trump is desperate to 'move on': “Trump's Russian Ties Were Exposed By
#TrumpLeaks” by@grantsternhttps://twitter.com/i/moments/809793623147642880 … -
nothing better than a New Yorker cartoon telling the plebs to shut up and let the powerful run the countrypic.twitter.com/e3ZzkIsb4G
-
NIST needs good people for its Info. Security & Privacy Advisory Board. No clearance required. Help your country! https://www.federalregister.gov/documents/2017/01/03/2016-31835/request-for-nominations-for-members-to-serve-on-national-institute-of-standards-and-technology …
-
#TheResistance A new website as a resource for enterprise journalists covering the Trump presidency http://investigatingtrump.com/ -
If Trump won't believe the briefings he gets from the CIA,the FBI and the DIA,where is he getting his new secret information from? Russia ?
-
Editorial Board | A two-state solution is best for everyone https://www.washingtonpost.com/opinions/a-two-state-solution-is-best-for-everyone/2016/12/31/20ec9648-cecb-11e6-a87f-b917067331bb_story.html …pic.twitter.com/4xorDWKpa2
-
.
@girlsreallyrule@usweekly Meanwhile cable news continues the search for a credible link between Putin and#NotMyPresidentpic.twitter.com/7eEZqCdPwk
-
updated duopoly
#s. new IAB data came out yesterday. easy to run vs earnings for goog and fb, it's evident everyone else is zero sum game.pic.twitter.com/wolgdpfcxp
-
(((tbiz))) followed Dan Pfeiffer, Grant Stern, POLITICO and 4 others
-
@danpfeiffer
VP of Communications and Policy for
@GoFundMe. Former Senior Advisor to President Obama, current@CNN contributor, co-host of Keepin' it 1600 podcast -
@grantstern
#Miami native, Mortgage Broker@morningsidemtg,@OnlyinMiamiShow host@880thebiz, columnist@OccupyDemocrats@HuffPostBlog. Exec. Dir.@PINACnews &#HeatLifer
-
Loading seems to be taking a while.
Twitter may be over capacity or experiencing a momentary hiccup. Try again or visit Twitter Status for more information.
(((tbiz)))
Judd Legum
Evan McMullin
Foreign Affairs Cmte
Scott Dworkin
Jon Cooper
Blup In Japan
Christopher Soghoian
The Anti-Trump
John Cleese
#TheResistance
Jason Kint