ಟ್ವೀಟ್ಗಳು
- ಟ್ವೀಟ್ಗಳು, ಪ್ರಸ್ತುತ ಪುಟ.
- ಟ್ವೀಟ್ಗಳು & ಪ್ರತಿಕ್ರಿಯೆಗಳು
- ಮಾಧ್ಯಮ
ನೀವು @paulbuerkner ಅವರನ್ನು ತಡೆಹಿಡಿದಿರುವಿರಿ
ಈ ಟ್ವೀಟ್ಗಳನ್ನು ವೀಕ್ಷಿಸಲು ನೀವು ಖಚಿತವಾಗಿ ಬಯಸುವಿರಾ? ಟ್ವೀಟ್ ವೀಕ್ಷಣೆಯು @paulbuerkner ಅವರ ತಡೆತೆರವುಗೊಳಿಸುವುದಿಲ್ಲ
-
Paul Bürkner ಅವರು ಮರುಟ್ವೀಟಿಸಿದ್ದಾರೆ
Statistically, machine learning has poor modeling practices which should limit generalizability. It doesn't. Why? For tasks like image recognition, all humans on the ML team understand ground truth; in healthcare/science tasks, it won't be the same. We can expect lots of failure.
ಧನ್ಯವಾದಗಳು. Twitter ಇದನ್ನು ನಿಮ್ಮ ಕಾಲರೇಖೆಯನ್ನು ಉತ್ತಮಗೊಳಿಸಲು ಬಳಸುತ್ತದೆ. ರದ್ದುಗೊಳಿಸುರದ್ದುಗೊಳಿಸು -
My Christmas present for the
#rstats community:#brms 2.7 is now on CRAN extending support for Gaussian processes and fixing a substantial performance bug in some post-processing methods among other new features and improvements.https://github.com/paul-buerkner/brms/releases/tag/v2.7.0 …ಧನ್ಯವಾದಗಳು. Twitter ಇದನ್ನು ನಿಮ್ಮ ಕಾಲರೇಖೆಯನ್ನು ಉತ್ತಮಗೊಳಿಸಲು ಬಳಸುತ್ತದೆ. ರದ್ದುಗೊಳಿಸುರದ್ದುಗೊಳಿಸು -
Paul Bürkner ಅವರು ಮರುಟ್ವೀಟಿಸಿದ್ದಾರೆ
IMHO this is a weird thing to propose *as a general rule*, if that's the intent. Priors need to be calibrated using prior predictive checks. The
@mcmc_stan group has made this clear long ago. Also, who uses uniform priors? 2012 was the last time I used them.https://twitter.com/ErikVanZwet/status/1073531538648821760 …ಧನ್ಯವಾದಗಳು. Twitter ಇದನ್ನು ನಿಮ್ಮ ಕಾಲರೇಖೆಯನ್ನು ಉತ್ತಮಗೊಳಿಸಲು ಬಳಸುತ್ತದೆ. ರದ್ದುಗೊಳಿಸುರದ್ದುಗೊಳಿಸು -
Paul Bürkner ಅವರು ಮರುಟ್ವೀಟಿಸಿದ್ದಾರೆ
I will be teaching a one-week course on Bayesian data analysis using brms and RStan in March 2019, Berlin, Germany:https://www.physalia-courses.org/courses-workshops/course46/ …
ಧನ್ಯವಾದಗಳು. Twitter ಇದನ್ನು ನಿಮ್ಮ ಕಾಲರೇಖೆಯನ್ನು ಉತ್ತಮಗೊಳಿಸಲು ಬಳಸುತ್ತದೆ. ರದ್ದುಗೊಳಿಸುರದ್ದುಗೊಳಿಸು -
Paul Bürkner ಅವರು ಮರುಟ್ವೀಟಿಸಿದ್ದಾರೆ
Bayesian statistics is great. Software is great! There's a special issue of
@jstatsoft planned, all about Bayesian Statistics. Submissions are invited, and I'm happy to publicise. See https://becarioprecario.github.io/posts/rstats/2018/12/01/JSS-Special-Issue/ … for more info.ಧನ್ಯವಾದಗಳು. Twitter ಇದನ್ನು ನಿಮ್ಮ ಕಾಲರೇಖೆಯನ್ನು ಉತ್ತಮಗೊಳಿಸಲು ಬಳಸುತ್ತದೆ. ರದ್ದುಗೊಳಿಸುರದ್ದುಗೊಳಿಸು -
Paul Bürkner ಅವರು ಮರುಟ್ವೀಟಿಸಿದ್ದಾರೆ
I have absolutely no patience for people who don’t publicly, prominently and persistently sketch out the limitations of their methods. Partial solutions to hard problems are amazing and useful but they rapidly become their own problems if you don’t acknowledge their imperfectionshttps://twitter.com/dan_p_simpson/status/1070833400372695041 …
ಈ ಥ್ರೆಡ್ ತೋರಿಸಿಧನ್ಯವಾದಗಳು. Twitter ಇದನ್ನು ನಿಮ್ಮ ಕಾಲರೇಖೆಯನ್ನು ಉತ್ತಮಗೊಳಿಸಲು ಬಳಸುತ್ತದೆ. ರದ್ದುಗೊಳಿಸುರದ್ದುಗೊಳಿಸು -
Paul Bürkner ಅವರು ಮರುಟ್ವೀಟಿಸಿದ್ದಾರೆ
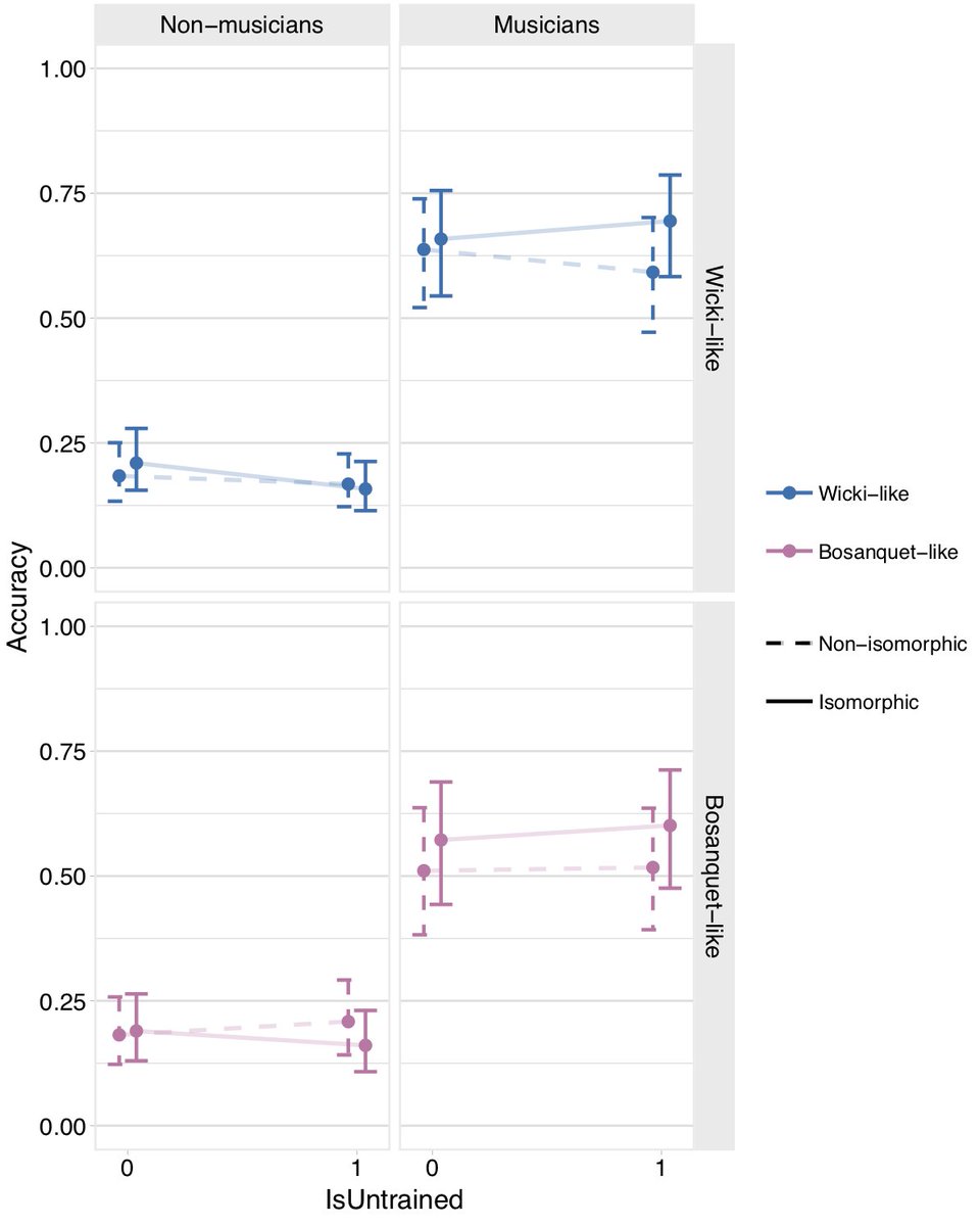
Our UG student's thesis just published in Applied Sciences https://www.mdpi.com/2076-3417/8/12/2514/htm …. Extensive use of Bayesian regression (
#brms &#ggplot2) to explore impact of isomorphic musical pitch layouts on learnability/playability#musicscience@MARCSInstitute@jenmacritchie@paulbuerknerpic.twitter.com/xXBrdbmISR
ಧನ್ಯವಾದಗಳು. Twitter ಇದನ್ನು ನಿಮ್ಮ ಕಾಲರೇಖೆಯನ್ನು ಉತ್ತಮಗೊಳಿಸಲು ಬಳಸುತ್ತದೆ. ರದ್ದುಗೊಳಿಸುರದ್ದುಗೊಳಿಸು -
Paul Bürkner ಅವರು ಮರುಟ್ವೀಟಿಸಿದ್ದಾರೆ
Bayesian Statistics Using Stan is an awesome book about, well, Bayesian Statistics Using Stan. From simple regression to GPs and ODEs -- it's all there. The book is up on the
@mcmc_stan web site: http://mc-stan.org/docs/bayes-stats-stan/index.html …pic.twitter.com/af2wKtugxb
ಧನ್ಯವಾದಗಳು. Twitter ಇದನ್ನು ನಿಮ್ಮ ಕಾಲರೇಖೆಯನ್ನು ಉತ್ತಮಗೊಳಿಸಲು ಬಳಸುತ್ತದೆ. ರದ್ದುಗೊಳಿಸುರದ್ದುಗೊಳಿಸು -
Paul Bürkner ಅವರು ಮರುಟ್ವೀಟಿಸಿದ್ದಾರೆ
StanCon 2018 Helsinki talk slides, notebooks and code have been available for some time in StanCon talks repository https://github.com/stan-dev/stancon_talks …, but it seems we forgot to announce this. The StanCon 2018 Helsinki talk list includes also links to videos. Thanks for all the presenters!
ಧನ್ಯವಾದಗಳು. Twitter ಇದನ್ನು ನಿಮ್ಮ ಕಾಲರೇಖೆಯನ್ನು ಉತ್ತಮಗೊಳಿಸಲು ಬಳಸುತ್ತದೆ. ರದ್ದುಗೊಳಿಸುರದ್ದುಗೊಳಿಸು -
Paul Bürkner ಅವರು ಮರುಟ್ವೀಟಿಸಿದ್ದಾರೆ
Seems improbable that every robustness check in every published paper always proves the original specification to be robust. Yet, that's what we see.
ಧನ್ಯವಾದಗಳು. Twitter ಇದನ್ನು ನಿಮ್ಮ ಕಾಲರೇಖೆಯನ್ನು ಉತ್ತಮಗೊಳಿಸಲು ಬಳಸುತ್ತದೆ. ರದ್ದುಗೊಳಿಸುರದ್ದುಗೊಳಿಸು -
Paul Bürkner ಅವರು ಮರುಟ್ವೀಟಿಸಿದ್ದಾರೆ
The methods used in Stan are very much on the frontiers of applied statistics, but that frontier is vast ceaseless. I compiled some of the open problems that I think are more important for making the next steps on my website, https://betanalpha.github.io/projects/index.html ….
ಈ ಥ್ರೆಡ್ ತೋರಿಸಿಧನ್ಯವಾದಗಳು. Twitter ಇದನ್ನು ನಿಮ್ಮ ಕಾಲರೇಖೆಯನ್ನು ಉತ್ತಮಗೊಳಿಸಲು ಬಳಸುತ್ತದೆ. ರದ್ದುಗೊಳಿಸುರದ್ದುಗೊಳಿಸು -
Paul Bürkner ಅವರು ಮರುಟ್ವೀಟಿಸಿದ್ದಾರೆ
I came up with an example of y ~ x + (x||group) using multi threading in
@mcmc_stan which "almost" works https://discourse.mc-stan.org/t/multi-threading-version-of-a-simple-linear-mixed-model-y-cond-cond-subj/6795 … help!
https://twitter.com/bruno_nicenboim/status/1067507556967489537 …ಧನ್ಯವಾದಗಳು. Twitter ಇದನ್ನು ನಿಮ್ಮ ಕಾಲರೇಖೆಯನ್ನು ಉತ್ತಮಗೊಳಿಸಲು ಬಳಸುತ್ತದೆ. ರದ್ದುಗೊಳಿಸುರದ್ದುಗೊಳಿಸು -
Paul Bürkner ಅವರು ಮರುಟ್ವೀಟಿಸಿದ್ದಾರೆ
that moment went your undergraduate researcher realizes the problem of closed-source research code: them: Do they write their own code to publish results and then just don’t publish the code? me: yep them: well what if their code has a bug in it? No one would ever know? me: yep
ಧನ್ಯವಾದಗಳು. Twitter ಇದನ್ನು ನಿಮ್ಮ ಕಾಲರೇಖೆಯನ್ನು ಉತ್ತಮಗೊಳಿಸಲು ಬಳಸುತ್ತದೆ. ರದ್ದುಗೊಳಿಸುರದ್ದುಗೊಳಿಸು -
Paul Bürkner ಅವರು ಮರುಟ್ವೀಟಿಸಿದ್ದಾರೆ
@mcmc_stan@rlmcelreath@paulbuerkner I'm looking for Stan examples of multi threading (map_rect) where there are correlated random effects. Something like a linear mixed model --in lmer notation: y ~ x + (x|group) . Any gist somewhere?ಧನ್ಯವಾದಗಳು. Twitter ಇದನ್ನು ನಿಮ್ಮ ಕಾಲರೇಖೆಯನ್ನು ಉತ್ತಮಗೊಳಿಸಲು ಬಳಸುತ್ತದೆ. ರದ್ದುಗೊಳಿಸುರದ್ದುಗೊಳಿಸು -
Paul Bürkner ಅವರು ಮರುಟ್ವೀಟಿಸಿದ್ದಾರೆ
A research team from the University of Münster and the University of Dortmund (Germany) is finalizing a meta-analysis on
#gender differences in unethical#negotiation behavior. If you can please help them out. Please RT.@OWMs@paulbuerkner#metaanalysis#socialpsychologypic.twitter.com/hq7L8WMQ6e
ಧನ್ಯವಾದಗಳು. Twitter ಇದನ್ನು ನಿಮ್ಮ ಕಾಲರೇಖೆಯನ್ನು ಉತ್ತಮಗೊಳಿಸಲು ಬಳಸುತ್ತದೆ. ರದ್ದುಗೊಳಿಸುರದ್ದುಗೊಳಿಸು -
Paul Bürkner ಅವರು ಮರುಟ್ವೀಟಿಸಿದ್ದಾರೆ
I am hiring: Come do a 4-y Postdoc with us in Lübeck at the
@ObleserLab! Modellers and Causal-inference-folks should feel especially targeted. We have ample data to play with (and a few undergrads to teach stats to now and then). http://tinyurl.com/obleserlab-postdoc-EN … Please RT wi(l)d(e)ly.ಧನ್ಯವಾದಗಳು. Twitter ಇದನ್ನು ನಿಮ್ಮ ಕಾಲರೇಖೆಯನ್ನು ಉತ್ತಮಗೊಳಿಸಲು ಬಳಸುತ್ತದೆ. ರದ್ದುಗೊಳಿಸುರದ್ದುಗೊಳಿಸು -
Paul Bürkner ಅವರು ಮರುಟ್ವೀಟಿಸಿದ್ದಾರೆಧನ್ಯವಾದಗಳು. Twitter ಇದನ್ನು ನಿಮ್ಮ ಕಾಲರೇಖೆಯನ್ನು ಉತ್ತಮಗೊಳಿಸಲು ಬಳಸುತ್ತದೆ. ರದ್ದುಗೊಳಿಸುರದ್ದುಗೊಳಿಸು
-
Paul Bürkner ಅವರು ಮರುಟ್ವೀಟಿಸಿದ್ದಾರೆ
Workshop on Bayesian Multilevel Modelling with R and Brms. Nottingham Trent University. Wednesday, Dec 12, 2018, 9am-12:30. If you are interested, details and sign up are here:https://tinyurl.com/brms-dec12
ಧನ್ಯವಾದಗಳು. Twitter ಇದನ್ನು ನಿಮ್ಮ ಕಾಲರೇಖೆಯನ್ನು ಉತ್ತಮಗೊಳಿಸಲು ಬಳಸುತ್ತದೆ. ರದ್ದುಗೊಳಿಸುರದ್ದುಗೊಳಿಸು -
Paul Bürkner ಅವರು ಮರುಟ್ವೀಟಿಸಿದ್ದಾರೆ
I was just reminded that I have funding for one more postdoc! The topic for that funding is not mentioned in the call linked below, but you can apply through that anyway. Topic negotiable related to Bayes,
@mcmc_stan, LOO, approximate inference, diagnostics, priors, GPs, etc.https://twitter.com/avehtari/status/1059779995265064960 …ಧನ್ಯವಾದಗಳು. Twitter ಇದನ್ನು ನಿಮ್ಮ ಕಾಲರೇಖೆಯನ್ನು ಉತ್ತಮಗೊಳಿಸಲು ಬಳಸುತ್ತದೆ. ರದ್ದುಗೊಳಿಸುರದ್ದುಗೊಳಿಸು -
Paul Bürkner ಅವರು ಮರುಟ್ವೀಟಿಸಿದ್ದಾರೆ
Today in shitty machine learning startups, this company claims to predict IQ, personality, and violent tendencies by applying deep learning to facial features and bone structure. That's phrenology. You just made the ML equivalent of a racist uncle.pic.twitter.com/wx1uJLvKhg
ಧನ್ಯವಾದಗಳು. Twitter ಇದನ್ನು ನಿಮ್ಮ ಕಾಲರೇಖೆಯನ್ನು ಉತ್ತಮಗೊಳಿಸಲು ಬಳಸುತ್ತದೆ. ರದ್ದುಗೊಳಿಸುರದ್ದುಗೊಳಿಸು
ಲೋಡಿಂಗ್ ಸಮಯ ಸ್ವಲ್ಪ ತೆಗೆದುಕೊಳ್ಳುತ್ತಿರುವಂತೆನಿಸುತ್ತದೆ.
Twitter ಸಾಮರ್ಥ್ಯ ಮೀರಿರಬಹುದು ಅಥವಾ ಕ್ಷಣಿಕವಾದ ತೊಂದರೆಯನ್ನು ಅನುಭವಿಸುತ್ತಿರಬಹುದು. ಮತ್ತೆ ಪ್ರಯತ್ನಿಸಿ ಅಥವಾ ಹೆಚ್ಚಿನ ಮಾಹಿತಿಗೆ Twitter ಸ್ಥಿತಿಗೆ ಭೇಟಿ ನೀಡಿ.